雾度又称浊度,表示透明或半透明材料不清晰的程度.是材料内部或表面由于光散射造成的云雾状或混浊的外观.以散射光通量与透过材料的光通量之比的百分率表示。通常仅将偏离入射光方向2.5度以上的散射光通量用于计算雾度。
雾度仪采用大尺寸触摸操作屏,操作简单方便,内置打印机,保存数据变得更便捷,后置数据输出装置,可与实验室系统对接。测量的时候通过试样的光通量与射到试样上的光通量之百分比为透光率;透过试样而偏离入射光方向的散射光通量与透射光通量之百分比为雾度。
其工作原理是一束平行光束入射某介质时,由于物质光学性质的不均匀性,表面缺陷,内部组织的不均匀,气泡和杂质存在等,光束就会改变方向,产生的部分杂乱无章光线称散射光。上规定用透过试样而偏离入射光方向的散射光通量与透射光通量之比用百分数来表示,这就是所谓雾度。雾度大的试样给人的感觉将更加模糊。光线在透过试样时还会产生损失,即穿过试样的透射光通量永远小于照射到试样上的入射光通量。两者之比,用百分数表示,上定义为透光率。
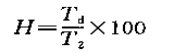
1、雾度的计算原理
用标准“c”光源的一束平行光垂直照射到透明或半透明薄膜、片材、板材上,由于材料内部和表面造成散射,透过物体的所有光使部分平行光偏离入射方向大于2.5°的散射光通量Td与透过材料的光通量T2之比的百分率,即:

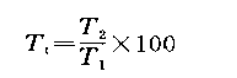
2、透过率的计算原理
透过率,以透过材料的光通量与入射的光通量之比的百分数表示。通常是指标准光源一束平行光垂直照射薄膜、片状、板状透明或半透明材料,透过材料的光通量T2与照射到透明材料入射光通量T1之比,即:

如果把光透过玻璃比喻成将士破关,刚开始的千军万马叫做入射光通量T1,一路披荆斩棘,有所伤亡,剩下顺利入关的称为T2。入关的将士中,除了跟着继续前行的,还有些可能受战役影响向各方逃跑,我们将偏离行驶方向2.5°的逃兵称为Td。